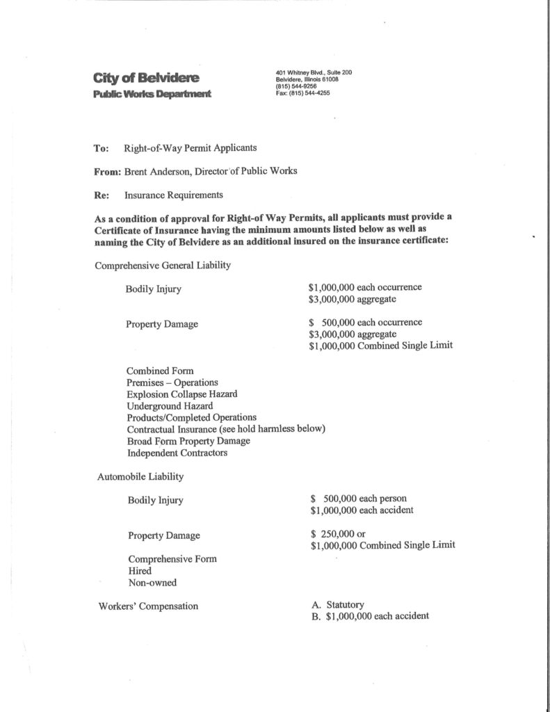
RIGHT OF WAY PERMITS
PUBLIC WORKS
- Public Works
- 50/50 Sidewalk Replacement Program
- Backup Control Measures
- Belvidere Stormwater Fee Survey
- Belvidere Waste Water Survey
- Emerald Ash Borer-Fact Sheet
- NPDES / Stormwater
- Right of Way Permit
- Sidewalk and Driveway Specifications
- Snow Plowing Policy
- Truck Route Information
- Water Bill Pay
- Water and Sewer Rates
- Water & Sanitary Sewer Construction
- Water Quality Report